兽类学报 ›› 2025, Vol. 45 ›› Issue (6): 831-841.DOI: 10.16829/j.slxb.151112
刘宗伟1,2,3,4, 赵萍1,2,3,5, 高德政1,2,3,5, 姜莹1,2,3,4, 陈炳耀6, 吕志超5, 吕连港1,2,3,4(
)
收稿日期:2025-06-19
接受日期:2025-11-11
出版日期:2025-11-30
发布日期:2025-12-03
通讯作者:
吕连港
作者简介:刘宗伟 (1986- ),男,博士,主要从事海洋声学、生物声学监测研究.
基金资助:
Zongwei LIU1,2,3,4, Ping ZHAO1,2,3,5, Dezheng GAO1,2,3,5, Ying JIANG1,2,3,4, Bingyao CHEN6, Zhichao LYU5, Liangang LYU1,2,3,4(
)
Received:2025-06-19
Accepted:2025-11-11
Online:2025-11-30
Published:2025-12-03
Contact:
Liangang LYU
摘要:
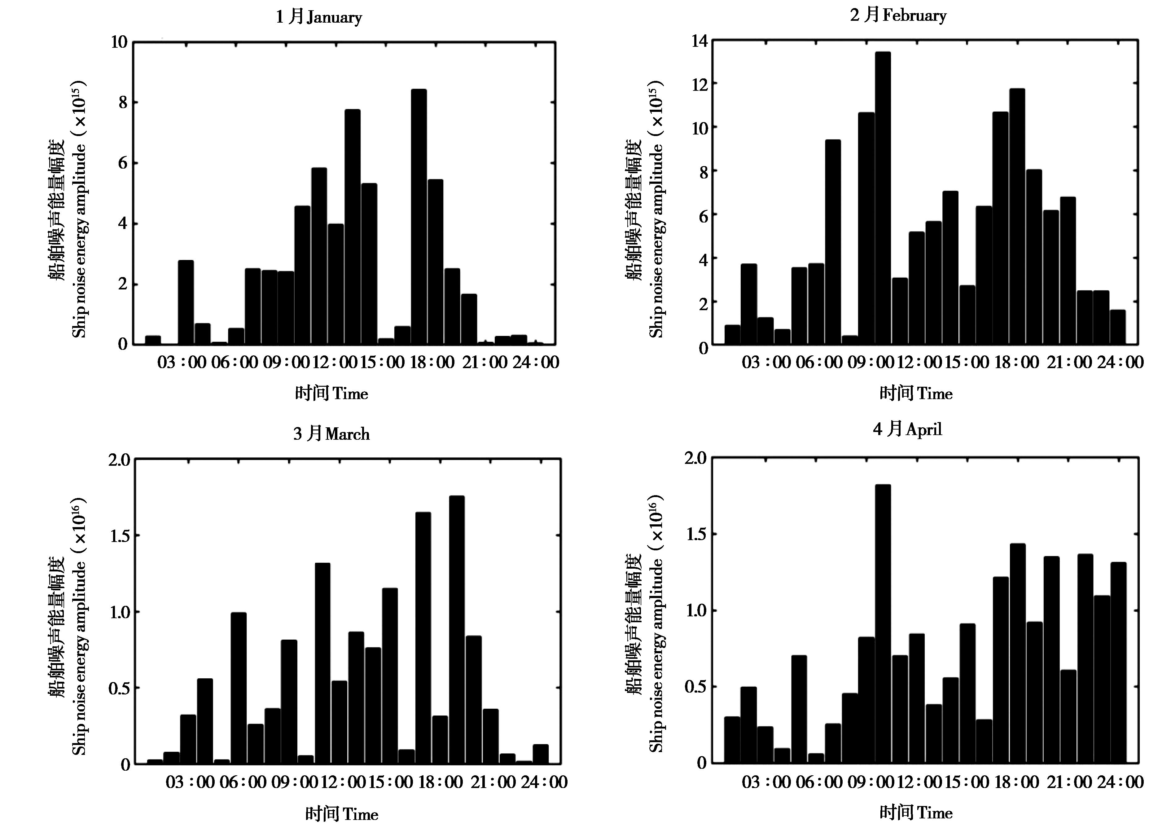
鲸豚类动物的水下发声往往受到环境因素的影响,国内相关研究较少,且多集中于近岸。本文基于北部湾离岸约100 km位点实测的声学数据,自动检测鲸豚类动物回声定位信号,研究鲸豚类动物的发声规律以及环境因子与低频噪声的影响。2023年1月13日至5月5日连续记录113 d,获取152 550个声音文件,经检测其中37 d记录到鲸豚类动物回声定位信号,共计74 180个。回声定位信号的发声次数在冬末较少、初春较多,白天较少、夜晚较多。通过计算低频段环境噪声,发现白天噪声级高、夜晚噪声级低,与鲸豚类动物昼夜发声次数成反比,同时发现当船舶噪声出现时,鲸豚类动物不发声或发声次数少,由此可知鲸豚类动物对船舶具有一定的规避现象。进一步分析发现,海水表层温度、风速、降雨量因素与鲸豚类动物发声次数之间无明显相关性。
中图分类号:
刘宗伟, 赵萍, 高德政, 姜莹, 陈炳耀, 吕志超, 吕连港. 北部湾鲸豚类动物发声规律及影响因素初步分析[J]. 兽类学报, 2025, 45(6): 831-841.
Zongwei LIU, Ping ZHAO, Dezheng GAO, Ying JIANG, Bingyao CHEN, Zhichao LYU, Liangang LYU. Preliminary analysis of vocalization patterns and influencing factors of cetaceans in the Beibu Gulf[J]. ACTA THERIOLOGICA SINICA, 2025, 45(6): 831-841.
图7 2023年2—5月,北部湾海水表层温度 (a)、风速 (b) 和降雨量 (c) 的日变化
Fig.7 Daily variations of sea surface temperature (a), wind speed (b), and precipitation (c) in the Beibu Gulf from February to May 2023
| Alexandri T, Diamant R. 2024. Detection and characterization of ship underwater radiated narrowband noise [J]. Computer Networks, 248: 110480. DOI: 10.1016/j.comnet.2024.110480 . | |
| Atkins S, Pillay N, Peddemors V M. 2004. Spatial distribution of Indo Pacific humpback dolphins (Sousa chinensis) at Richards Bay, South Africa: environmental influences and behavioural patterns [J]. Aquatic Mammals, 30 (1): 84-93. | |
| Chen B Y, Sun J, Mao B N, Guan Z H, Jiang X Y, Wang J. 2025. The impacts evaluation of whale‑watching vessels on Bryde’s whales and implications for whale‑watching regulations [J]. Acta Theriologica Sinica, 45 (5): 681-693. (in Chinese) | |
| Chen B Y, Zhai F F, Xu X R, Yang G. 2007. A preliminary analysis on the habitat selection of Chinese white dolphins (Sousa chinensis) in Xiamen waters China [J]. Acta Theriologica Sinica, 27 (1): 92-95. (in Chinese) | |
| Chen B, Xu X, Jefferson T A, Olson P A, Qin Q, Zhang H, He L, Yang G. 2016. Conservation status of the Indo‑Pacific humpback dolphin (Sousa chinensis) in the Northern Beibu Gulf, China [J]. In Advances in Marine Biology, 73: 119-139. | |
| Chen T, Qiu Y S, Jia X P, Zhong Z H, Cai W G. 2010. Distribution and seasonal movement patterns of Chinese white dolphins in western Pearl River Estuary [J]. Journal of Fishery Sciences of China, 17 (5): 1057-1065. (in Chinese) | |
| Clay T A, Carroll G, Cimino M A, Miksis‑Olds J L, Kowarski K A, Lyons A P, Miller P I, Moore T S, Warren J D, Hazen E L. 2025. Environmental drivers of foraging by deep‑diving cetaceans: roles of mesoscale oceanography and light‑driven cycles [J]. Progress in Oceanography, 239: 103581. DOI: 10.1016/j.pocean.2025.103581 . | |
| Dudzinski K M, Thomas J A, Gregg J D. 2009. Communication in marine mammals [A]. In: Perrin W F, Wursig B, Thiewissen J G M eds. Encyclopedia of Marine Mammals [M]. AcademicPress, 260-269. | |
| Dyndo M, Wiśniewska D M, Rojano‑Doñate L, Madsen P T. 2015. Harbour porpoises react to low levels of high frequency vessel noise [J]. Scientific Reports, 5 (1). DOI: /10.1038/srep11083 . | |
| Erbe C, Reichmuth C, Cunningham K, Lucke K, Dooling R. 2016. Communication masking in marine mammals: a review and research strategy [J]. Marine Pollution Bulletin, 103 (1-2): 15-38. | |
| Hartel E F, Noke Durden W, O’Corry‑Crowe G. 2020. Testing satellite telemetry within narrow ecosystems: nocturnal movements and habitat use of bottlenose dolphins within a convoluted estuarine system [J]. Animal Biotelemetry, 8 (1). DOI: 10.1186/s40317-020-00200-4 . | |
| Hastie G D, Wilson B, Thompson P M. 2003. Fine‑scale habitat selection by coastal bottlenose dolphins: application of a new land‑based video montage technique [J].Canadian Journal of Zoology, 81 (3): 469-478. | |
| Helal K M, Fragasso J, Moro L. 2024. Underwater noise characterization of a typical fishing vessel from Atlantic Canada [J]. Ocean Engineering, 299: 117310. DOI: 10.1016/j.oceaneng.2024.117310 . | |
| Hottell A B. 1930. Aquatic Mammals: Their Adaptations to Life in Water [M]. Springfield, Ⅰll.: Thomas. | |
| Huang L F, Lu L G, Jiang Y, Liu Z W, Yang C M. 2019. Analysis of the regularity of echolocation signals of killer whales in the Prydz Bay, Antarctica [J]. Advances in Marine Science, 37 (2): 255-264. (in Chinese) | |
| Huang L F. 2019. Analysis of underwater vocalization of killer whale, Antarctic minke whale and humpback whale in Antarctic [D]. Master thesis. Qingdao: First Institute of Oceanography, Ministry of Natural Resources. (in Chinese) | |
| Janik V M. 2014. Cetacean vocal learning and communication [J]. Current Opinion in Neurobiology, 28: 60-65. | |
| Jarvis S M, Morrissey R P, Moretti D J, DiMarzio N A, Shaffer J A. 2014. Marine mammal monitoring on navy ranges (M3R): a toolset for automated detection, localization, and monitoring of marine mammals in open ocean environments [J]. Marine Technology Society Journal, 48 (1): 5-20. | |
| Jiang Y, Lu L G, Liu Z W, Huang L F, Yang Z G, Yang C M. 2020. Classification of underwater voclaiaions produced by the captive steller sea lions (Eumetopias jubatus)[J]. Adavances in Marine Science, 38 (1): 182-188. (in Chinese) | |
| Karczmarski L, Cockcroft V G, McLachlan A. 2000. Habitat use and preferences of Indo‑Pacific humpback dolphins Sousa chinensis in Algoa Bay, South Africa [J]. Marine Mammal Science, 16 (1): 65-79. | |
| Kellogg W N, Kohler R. 1952. Reactions of the porpoise to ultrasonic frequencies [J]. Science, 116: 250-252. | |
| Li J, McLaughlin R W, Chen M, Liu Y L, Xie H X, Wan X L, Zhou J Y, Zheng J S. 2020. First case of Shewanella indica isolated from a Bryde’s whale (Balaenoptera edeni) stranded in the northern Beibu Gulf, China [J]. Antonie van Leeuwenhoek, 113 (9): 1385-1391. | |
| Li X Y, Liu Z W, Shi Y, Jiang Y, Yang C M, Wang X Y, Lv L G. 2023. Characteristics of ambient noise in the bottom of Middle South Shoal of the South China Sea [J]. Advances in Marine Science, 41 (2): 335-343. (in Chinese) | |
| Lilly J C. 1966. Sonic‑ultrasonic emissions of the bottlenose dolphin [J]. Whales, Dolphins and Porpoises, 165: 503-507. | |
| Lima S L. 1998. Nonlethal effects in the ecology of predator‑prey interactions [J]. BioScience, 48: 25-34. | |
| Liu X. 2007. Habitat selection of Chinese white dolphin (Sousa chinensis) [D]. Master thesis. Guangzhou: South China Normal University. (in Chinese) | |
| Lohrasbipeydeh H, Dakin D T, Gulliver T A, Amindavar H, Zielinski A. 2015. Adaptive energy‑based acoustic sperm whale echolocation click detection [J]. IEEE Journal of Oceanic Engineering, 40 (4): 957-968. | |
| Marques C S, Marques D A, Blackwell S B, Heide‑Jørgensen M P, Malinka C E, Marques T A. 2024. Narwhal (Monodon monoceros) echolocation click rates to support cue counting passive acoustic density estimation [J]. The Journal of the Acoustical Society of America, 155 (2): 891-900. | |
| Mellinger D K, Stafford K M, Moore S E, Dziak R P, Matsumoto H. 2007. An overview of fixed passive acoustic observation methods for cetaceans [J]. Oceanography, 20 (4): 36-45. | |
| Niu F Q, Yang Y M, Zhou Z M, Wang X Y, Monanunsap S, Junchompoo C. 2019. Echolocation clicks of free‑ranging Irrawaddy dolphins (Orcaella brevirostris) in Trat Bay, the eastern Gulf of Thailand [J]. The Journal of the Acoustical Society of America, 145(5): 3031-3037. | |
| Nowacek D P, Bröker K, Donovan G, Gailey G, Racca R, Reeves R R, Vedenev A I, Weller D W, Southall B L. 2013. Responsible practices for minimizing and monitoring environmental impacts of marine seismic surveys with an emphasis on marine mammals [J]. Aquatic Mammals, 39 (4): 356-377. | |
| Spitz J, Ridoux V, Trites A W, Laran S, Authier M. 2018. Prey consumption by cetaceans reveals the importance of energy‑rich food webs in the bay of Biscay [J]. Progress in Oceanography, 166: 148-158. | |
| Veirs S, Veirs V, Wood J D. 2016. Ship noise extends to frequencies used for echolocation by endangered killer whales [J]. PeerJ, 4: e1657. DOI: /10.7717/peerj.1657 . | |
| Verfuss U K, Gillespie D, Gordon J, Marques T A, Miller B, Plunkett R, Theriault J A, Tollit D J, Zitterbart D P, Hubert P, Thomas L. 2018. Comparing methods suitable for monitoring marine mammals in low visibility conditions during seismic surveys [J]. Marine Pollution Bulletin, 126: 1-18. DOI: /10.1016/j.marpolbul.2017.10.034 . | |
| Wang J Y, Hung S K, Yang S C. 2004. Records of Indo‑Pacific humpback dolphins, Sousa chinesis (Osbeck, 1765) from the waters of Western Taiwan [J]. Aquatic Mammals, 30 (1): 189-196. | |
| Wang P L, Han J B. 2007. Present status of distribution and protection of Chinese white dolphins (Sousa chinensis) population in Chinese waters [J]. Marine Environmental Science, 26 (5): 484-487. (in Chinese) | |
| Wang P L. 2011. Chinese Cetaceans [M]. Beijing: Chemical Industry Press.(in Chinese) | |
| Wang X Y. 2019. Analysis of underwater vocalizations types and characteristics of dugongs, Indo‑Pacific humpback dolphins, and Weddell seals [D]. Master thesis. Qingdao: First Institute of Oceanography, Ministry of Natural Resources. (in Chinese) | |
| Weilgart L S. 2007. The impacts of anthropogenic ocean noise on cetaceans and implications for management [J]. Canadian Journal of Zoology, 85 (11): 1091-1116. | |
| Wu F X. 2013. lnvestigations on distribution and population size of Chinese white dolphin (Sousa chỉnensis) along the Coastal Waters of Fujian Province, People’s Republio of China [D]. Master thesis. Jinan: Shandong University. (in Chinese) | |
| Yang Y H. 2023. Research on the recognition method of fishing boat fishing behavior based on deep learning [D]. Master thesis. Dalian: Dalian Ocean University. (in Chinese) | |
| Zhai F F. 2006. A study on the social sturcture, behavior, and habitatselection of Chinese white dolphins (Sousa chinensis) in Xiamen Waters China [D]. Master thesis. Nanjing: Nanjing Normal University. (in Chinese) | |
| Zhang Y, Sun X, Nong Z, Chen M, Hao Y, Wang J, Wang K, Wang D, Mei Z. 2023. The first baleen whale marine protected area proposed for Bryde’s whales in the Beibu Gulf, China [J]. Marine Mammal Science, 40 (2).DOI: 10.1111/mms.13082 . | |
| Zhao P, Liu Z W, Jiang Y, Lü L, Yang C M, Lü Z C. 2025. Dolphin click signal detection method based on multi‑parameter constraints [J]. Advances in Marine Science. DOI: /10.12362/j.issn.1671-6647.20240715001. (in Chinese) | |
| 王丕烈, 韩家波. 2007. 中国水域中华白海豚种群分布现状与保护 [J]. 海洋环境科学, 26 (5): 484-487. | |
| 王丕烈. 2011. 中国鲸类 [M]. 北京: 化学工业出版社. | |
| 王晓燕. 2019. 儒艮、中华白海豚与威德尔海豹水下声信号类型及特征分析 [D]. 青岛: 自然资源部第一海洋研究所硕士学位论文. | |
| 刘宗伟, 吕连港. 2019. 一种船舶噪声稳健识别方法. CN110082818A [P/OL]. | |
| 刘宣. 2007. 中华白海豚 (Sousa chinensis) 的栖息地选择 [D]. 广州: 华南师范大学硕士学位论文. | |
| 李显阳, 刘宗伟, 史阳, 姜莹, 杨春梅, 王晓燕, 吕连港. 2023. 南海中南暗沙海域海底环境噪声特性 [J]. 海洋科学进展, 41 (2): 336-341. | |
| 杨昱皞. 2023. 基于被动声学的中华白海豚声音信号检测与分析 [D]. 大连: 大连海洋大学硕士学位论文. | |
| 吴福星. 2013. 福建沿海中华白海豚的分布与种群数量调查 [D]. 济南: 山东大学硕士学位论文. | |
| 陈炳耀, 孙婧, 毛保能, 关泽华, 姜新月, 王静. 2025. 观鲸船只对布氏鲸的影响评价及对观鲸规则的启示 [J]. 兽类学报, 45 (5): 681-693. | |
| 陈炳耀, 翟飞飞, 徐信荣, 杨光. 2007. 厦门水域中华白海豚栖息地选择的初步研究 [J]. 兽类学报, 27 (1): 92-95. | |
| 陈涛, 邱永松, 贾晓平, 钟智辉, 蔡文贵. 2010. 珠江西部河口中华白海豚的分布和季节变化 [J]. 中国水产科学, 17 (5): 1057-1065. | |
| 周开亚. 2004. 中国动物志∙兽纲 (第九卷) [M]. 北京: 科学出版社. | |
| 赵萍, 刘宗伟, 姜莹, 吕连港, 杨春梅, 吕志超. 2025. 基于多参数约束的海豚回声定位信号自动检测方法 [J]. 海洋科学进展. DOI: /10.12362/j.issn.1671-6647.20240715001 . | |
| 姜莹, 吕连港, 刘宗伟, 黄龙飞, 杨志国, 杨春梅. 2020. 北海狮水下声信号类型分析 [J]. 海洋科学进展, 38 (1): 182-188. | |
| 黄龙飞, 吕连港, 姜莹, 刘宗伟, 杨春梅. 2019. 普里兹湾虎鲸回声定位信号脉冲间隔特征分析 [J]. 海洋科学进展, 37 (2): 255-264. | |
| 黄龙飞. 2019. 南极虎鲸、小须鲸与座头鲸水下发声特征分析 [D]. 青岛: 自然资源部第一海洋研究所硕士学位论文. | |
| 翟飞飞. 2006. 厦门中华白海豚社会组织结构行为和栖息地选择的初步研究 [D]. 南京: 南京师范大学硕士学位论文. |
| [1] | 杜世平, 吴怡豪, 鲁庆斌, 马铭泽, 董爽, 方茹意, 苏秀. 浙江丘陵林业生产区野猪的分布状况及其影响因素[J]. 兽类学报, 2024, 44(4): 466-477. |
| [2] | 李标标, 王希, 夏东坡, 张启信, 李进华. 黄山短尾猴交配叫声及其影响因素[J]. 兽类学报, 2021, 41(1): 32-41. |
| [3] | 华铣泽 周睿 叶国辉 花蕊 包达尔罕 花立民. 雄性高原鼠兔长鸣时间分配及其影响因素[J]. 兽类学报, 2020, 40(6): 606-614. |
| [4] | 王静 白瑞丹 蔡永华 黎勇 程建国 付文龙 周密 盛岩 孟秀祥. 圈养林麝麝香分泌时间节律及影响因素[J]. 兽类学报, 2020, 40(5): 485-492. |
| [5] | 周运辉 张鹏. 近五百年来长臂猿在中国的分布变迁[J]. , 2013, 33(3): 258-266. |
| [6] | 李俊生 宋延龄 曾治高. 反刍动物的食物选择及其影响因素[J]. , 2003, 23(1): 66-73. |
| [7] | 王玉山 王祖望 王德华 张知彬. 哺乳动物最大代谢率的研究进展[J]. , 2002, 22(4): 305-317. |
| [8] | 宋志刚 王德华. 哺乳动物基础代谢率的主要影响因素[J]. , 2002, 22(1): 53-60. |
| [9] | 李金钢,王廷正, 李金铭, 赵亚军. 甘肃鼢鼠种群动态及其影响因素的初步分析[J]. , 1999, 19(2): 158-160. |
| [10] | 魏万红,姜永进,朱申武,周文扬,蒋志刚. 普氏原羚种群大小及影响因素的初步研究[J]. , 1998, 18(3): 232-234. |
| 阅读次数 | ||||||
|
全文 |
|
|||||
|
摘要 |
|
|||||
青公网安备 63010402000199号 青ICP备05000010号-2