兽类学报 ›› 2025, Vol. 45 ›› Issue (6): 797-809.DOI: 10.16829/j.slxb.150966

• 研究论文 • 上一篇    下一篇

布氏田鼠警戒鸣叫的生态适应不支持声音适应假说

李强云1,2, 吴金海3, 斯日古楞3, 张建平4, 柳玉民5, 肖治术2,6, 苏军虎1(), 刘伟2,6()   

  1. 1.甘肃农业大学草业学院/草业生态系统教育部重点实验室/甘肃省草业工程实验室,中美草地畜牧业可持续发展研究中心,兰州 730070
    2.中国科学院动物研究所,动物多样性保护与有害动物防控重点实验室,北京 100101
    3.内蒙古呼伦贝尔市新巴尔虎右旗草原事业发展中心,新巴尔虎右旗 021399
    4.内蒙古锡林郭勒盟太仆寺旗现代农牧业综合服务中心,太仆寺旗 027000
    5.河北石油职业技术大学,承德 067000
    6.中国科学院大学,北京 100049
  • 收稿日期:2024-06-06 接受日期:2024-10-15 出版日期:2025-11-30 发布日期:2025-12-03
  • 通讯作者: 苏军虎,刘伟
  • 作者简介:李强云 (1996- ),男,硕士研究生,主要从事啮齿动物行为生态学研究.
  • 基金资助:
    国家自然科学基金重大项目(32090024);中国科学院动物研究所自主部署项目(2024IOZ0105);动物多样性保护与有害动物防控全国重点实验室自主部署项目(SKLA2507)

Ecological adaptations of alarm calls in Brandt’s voles did not support the acoustic adaptation hypothesis

Qiangyun LI1,2, Jinhai WU3, Siriguleng3, Jianping ZHANG4, Yumin LIU5, Zhishu XIAO2,6, Junhu SU1(), Wei LIU2,6()   

  1. 1.College of Grassland Science, Key Laboratory of Grassland Ecosystem (Ministry of Education), Pratacultural Engineering Laboratory of Gansu Province, Sino-U. S. Centers for Grazingland Ecosystem Sustainability, Gansu Agricultural University, Lanzhou 730070, China
    2.Key Laboratory of Animal Biodiversity Conservation and Integrated Pest Management, Institute of Zoology, Chinese Academy of Sciences, Beijing 100101, China
    3.Grassland Development Center of Xinbalhu Right Banner, Hulunbuir City, Inner Mongolia, Xinbalhu Right Banner 021399, China
    4.Modern Agriculture and Animal Husbandry Comprehensive Service Center of Taipusi Banner, Xilinguole League, Inner Mongolia, Taipusi Banner 027000, China
    5.Hebei Petroleum University of Technology, Chengde 067000, China
    6.University of Chinese Academy of Sciences, Beijing 100049, China
  • Received:2024-06-06 Accepted:2024-10-15 Online:2025-11-30 Published:2025-12-03
  • Contact: Junhu SU, Wei LIU

摘要:

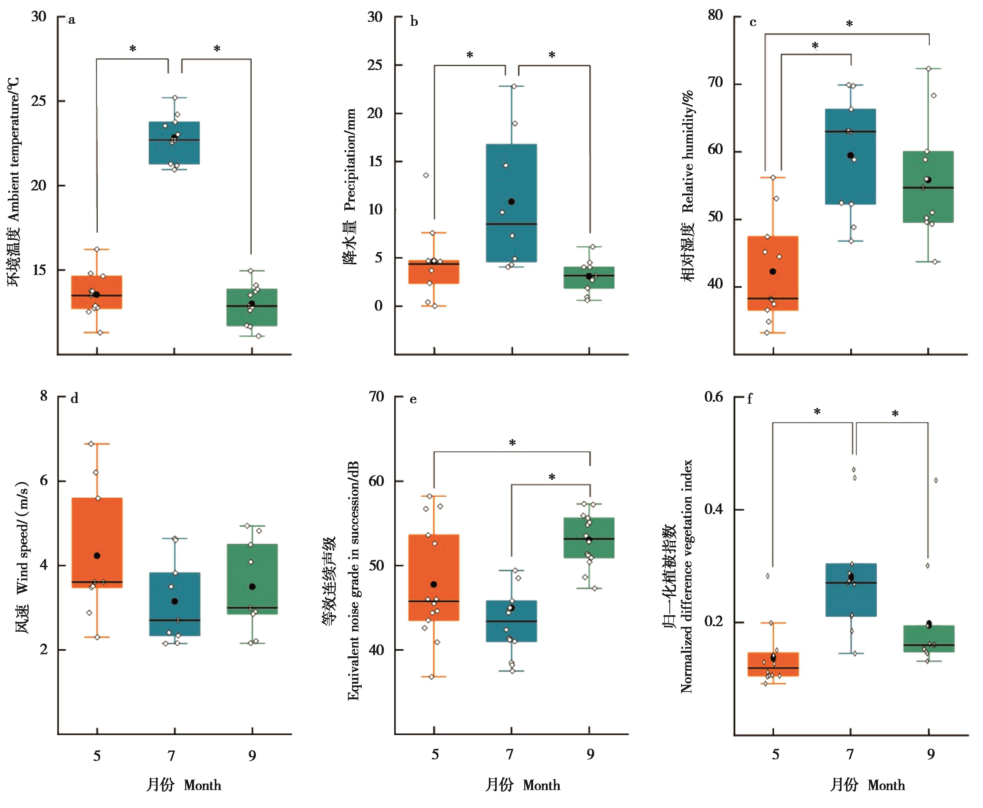
警戒鸣叫是动物重要的生存策略之一,生境植被郁闭度、气候因子、噪声和鸣叫功能等可能对动物鸣叫适应性调整发挥作用,动物警戒鸣声如何适应栖息地结构的时序变化是一个有待探究的问题。其中声音适应性假说认为动物的鸣声信号应该朝有利于在其所处环境中高效传播的方向进化,然而并非所有研究支持其预测。布氏田鼠 (Lasiopodomys brandtii) 的警戒鸣叫是其重要的反捕食行为,为检测其警戒鸣叫的声学特征和功能适应性,本研究于2023年5月、7月和9月在内蒙古新巴尔虎右旗典型草原区,采集布氏田鼠的警戒鸣叫,并结合当地历年气候参数和实时环境噪声指标,分析其警戒鸣叫特征与生境间的关系。结果发现布氏田鼠警戒鸣叫具有单音节 (占比13.1%) 和多音节 (占比86.9%) 的声学特征,且多音节鸣叫的最小基频或最大基频与生境植被指数或环境相对湿度呈显著正相关,但与风速呈显著负相关,最大基频和基频范围与环境噪声呈显著正相关,但最小基频等其他频域参数以及音节间隔与之呈负相关。夏季 (7月) 相对高温多雨、低噪声的环境条件下,布氏田鼠警戒鸣声表现为音频相对集中的长脉冲、音节松散的高频音;而在相对干燥、风急嘈杂的春季 (5月) 和秋季 (9月),尤其是9月,鸣声调整为短脉冲、音节密集的宽带低频音,布氏田鼠警戒鸣声响应了相对湿度、风速和噪声等非植被郁闭度的季节性变化,但不支持声音适应性假说,这种差异也是其权衡反捕食风险和收益的结果,与其幼仔或家族亲缘个体扩散紧密关联。本研究为布氏田鼠适应集群和季节性繁殖生活相关的反捕食声讯对策提供了依据。

关键词: 布氏田鼠, 警戒鸣叫, 声音适应性假说, 栖息地结构, 反捕食声讯对策

Abstract:

Vocal alarm is one of the important survival strategies for animals, where habitat vegetation cover, climatic factors, noise, and call purpose may play a role in the adaptive tuning of animal calls. How the alarm calls of animals adapt to the temporal changes of habitat structure remains poorly explored. The acoustic adaptation hypothesis (AAH) suggests that animal calls should evolve in a direction that facilitates efficient transmission in their environment, but not all empirical reports support its predictions. The alarm calls of Brandt’s voles (Lasiopodomys brandtii) are an important anti-predator behavior. To detect the acoustic characteristics and functional adaptability of their alarm calls, in May, July, and September 2023, the alarm calls of Brandt's voles were collected in the typical steppe area of Xin Barag Right Banner, Inner Mongolia. These calls were then combined with the local historical climate parameters and real-time environmental noise indicators to analyze the relationship between the characteristics of their alarm calls and the habitat. The results showed that the alarm calls of Brandt’s voles exhibit both monosyllabic (13.1%) and multisyllabic acoustic (86.9%) characteristics. Furthermore, the minimum and maximum fundamental frequency were significantly positively correlated with habitat vegetation index and ambient relative humidity, respectively, but significantly negatively correlated with wind speed. The maximum fundamental frequency and fundamental frequency range were significantly positively correlated with ambient noise, while other frequency (i.e. the minimum fundamental frequency) and time (i.e. inter-note intervals of a call) domain parameter showed a negative correlation. Under the environmental conditions of relatively high temperature, abundant rainfall, and low noise in summer (July), the alarm calls of Brandt’s voles were characterized by long pulses with relatively concentrated audio frequencies and high-frequency sounds with loose syllables. In spring (May) and autumn (September), which were relatively dry, windy, and noisy, especially in September, the calls were adjusted to short pulses and broadband low-frequency sounds with dense syllables. The alarm calls of Brandt's voles responded to the seasonal changes in relative humidity, wind, and noise rather than vegetation canopy density, which did not support the acoustic adaptation hypothesis. This difference was also the result of their trade-off between anti-predator risks and benefits and was closely related to the dispersal of their offspring or family relatives. This study provides a basis for the anti-predator acoustic countermeasures related to the adaptation of Brandt’s voles to colonial and seasonal breeding life.

Key words: Lasiopodomys brandtii, Alarm calls, Acoustic adaptation hypothesis, Habitat factors, Anti-predatory acoustic strategy

中图分类号: