ACTA THERIOLOGICA SINICA ›› 2026, Vol. 46 ›› Issue (1): 105-115.DOI: 10.16829/j.slxb.150986
• ORIGINAL PAPERS • Previous Articles Next Articles
Mengchan YANG1(
), Fangfang SUN1, Yang WU1, Yingyong WANG2, Jian ZHAO3, Ketong DENG1
Received:2024-07-24
Accepted:2025-03-07
Online:2026-01-30
Published:2026-02-03
Contact:
Mengchan YANG
杨梦婵1(
), 孙芳芳1, 吴杨1, 王英勇2, 赵健3, 邓可彤1
通讯作者:
杨梦婵
作者简介:杨梦婵(1990- ),女,硕士,工程师,主要从事城市生物多样性保护管理研究.
基金资助:CLC Number:
Mengchan YANG, Fangfang SUN, Yang WU, Yingyong WANG, Jian ZHAO, Ketong DENG. Study on the occupancy model of urban mammals using camera-trapping techniques: a case study in Shenzhen, south China[J]. ACTA THERIOLOGICA SINICA, 2026, 46(1): 105-115.
杨梦婵, 孙芳芳, 吴杨, 王英勇, 赵健, 邓可彤. 基于红外相机技术的城市哺乳动物占域研究——以深圳市为例[J]. 兽类学报, 2026, 46(1): 105-115.
| 物种 Species | 表面占域率 | 估计占域率 | 估计探测率 | 协变量累积权重 Covariate AIC weight | ||
|---|---|---|---|---|---|---|
| NDVI | WAT | NL | ||||
| 豹猫Prionailurus bengalensis | 0.489 | 0.557 | 0.025 | 0.571 | 0.394 | 0 |
| 野猪Sus scrofa | 0.381 | 0.404 | 0.045 | 0.274 | 0.261 | 0.878 |
| 鼬獾Melogale moschata | 0.227 | 0.245 | 0.041 | 0.871 | 0.167 | 0.277 |
| 花面狸Paguma larvata | 0.108 | 0.151 | 0.019 | 0.326 | 0.185 | 0.862 |
| 马来豪猪Hystrix brachyura | 0.080 | 0.098 | 0.013 | 0.900 | 0.900 | 0.900 |
| 赤腹松鼠Callosciurus erythraeus | 0.063 | 0.065 | 0.050 | 0.325 | 0 | 0 |
| 猪獾Arctonyx collaris | 0.023 | 0.064 | 0.008 | 0.550 | 0.386 | 0.757 |
| 猕猴Macaca mulatta | 0.017 | 0.017 | 0.217 | 0.605 | 0.646 | 1.000 |
| 小灵猫Viverricula indica | 0.017 | 0.026 | 0.001 | 0.861 | 0.454 | 0.861 |
| 赤麂Muntiacus vaginalis | 0.006 | 0.007 | 0.019 | 0 | 0 | 0 |
Table 1 Results of occupancy modeling for target mammals
| 物种 Species | 表面占域率 | 估计占域率 | 估计探测率 | 协变量累积权重 Covariate AIC weight | ||
|---|---|---|---|---|---|---|
| NDVI | WAT | NL | ||||
| 豹猫Prionailurus bengalensis | 0.489 | 0.557 | 0.025 | 0.571 | 0.394 | 0 |
| 野猪Sus scrofa | 0.381 | 0.404 | 0.045 | 0.274 | 0.261 | 0.878 |
| 鼬獾Melogale moschata | 0.227 | 0.245 | 0.041 | 0.871 | 0.167 | 0.277 |
| 花面狸Paguma larvata | 0.108 | 0.151 | 0.019 | 0.326 | 0.185 | 0.862 |
| 马来豪猪Hystrix brachyura | 0.080 | 0.098 | 0.013 | 0.900 | 0.900 | 0.900 |
| 赤腹松鼠Callosciurus erythraeus | 0.063 | 0.065 | 0.050 | 0.325 | 0 | 0 |
| 猪獾Arctonyx collaris | 0.023 | 0.064 | 0.008 | 0.550 | 0.386 | 0.757 |
| 猕猴Macaca mulatta | 0.017 | 0.017 | 0.217 | 0.605 | 0.646 | 1.000 |
| 小灵猫Viverricula indica | 0.017 | 0.026 | 0.001 | 0.861 | 0.454 | 0.861 |
| 赤麂Muntiacus vaginalis | 0.006 | 0.007 | 0.019 | 0 | 0 | 0 |
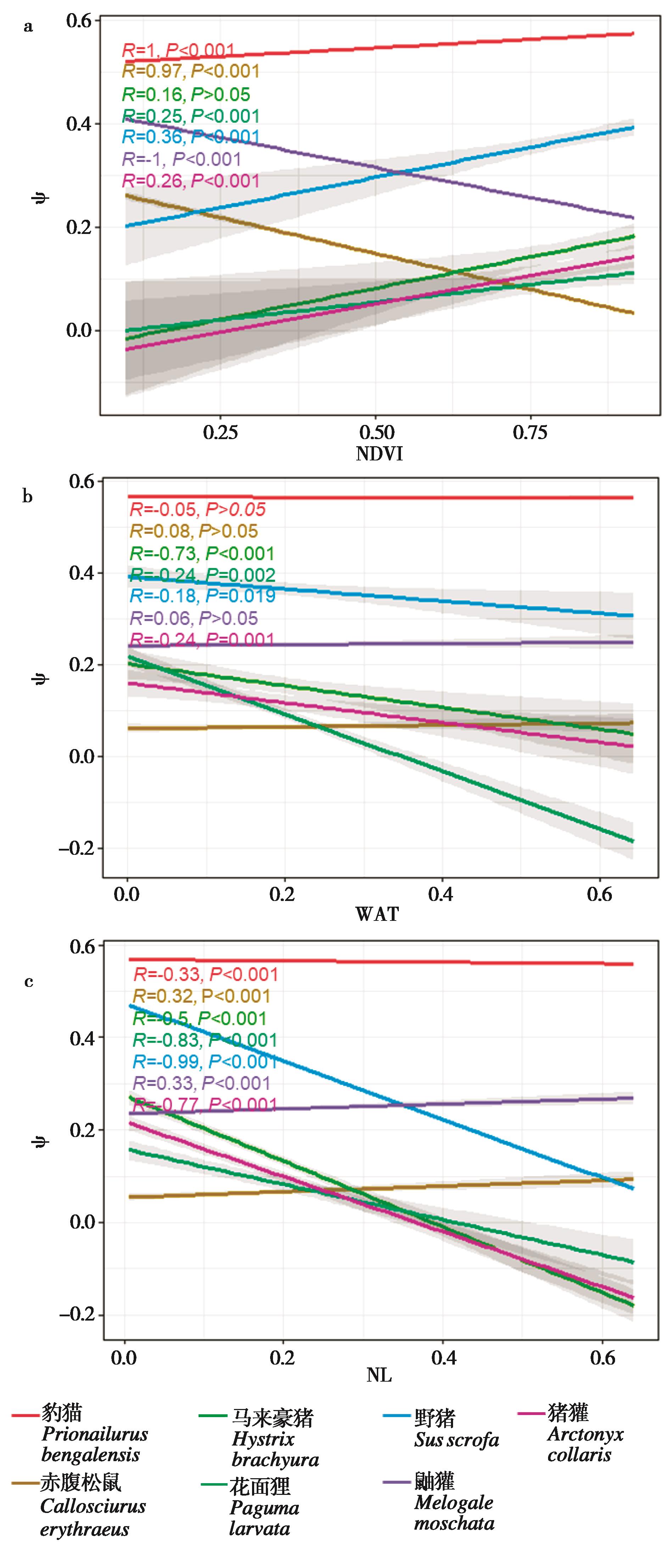
Fig. 3 The effect of covariates on occupancy probability (Ψ) of target mammals. a: NDVI, normalized difference vegetation index; b: WAT, distance to river; c: NL, nighttime light. The gray area indicates 95% confidence intervals; R is the coefficient of covariates and occupancy
| 物种 Species | SIF | ||
|---|---|---|---|
家猫 + 豹猫 Felis catus + Prionailurus bengalensis | 0.805 | 0.500 | 1.120 |
家猫 + 赤腹松鼠 Felis catus + Callosciurus erythraeus | 0.121 | 0.996 | 0.725 |
家猫 + 花面狸 Felis catus + Paguma larvata | 0.593 | 0.040 | 2.434 |
家猫 + 马来豪猪 Felis catus + Hystrix brachyura | 1.000 | 0.154 | 3.993 |
家猫 + 野猪 Felis catus + Sus scrofa | 0.547 | 0.342 | 1.042 |
家猫 + 鼬獾 Felis catus + Melogale moschata | 0.675 | 0.118 | 1.721 |
家猫 + 猪獾 Felis catus + Arctonyx collaris | 0.121 | 1.000 | 0.692 |
Table 2 Species interaction factors between free-ranging cat and target mammals
| 物种 Species | SIF | ||
|---|---|---|---|
家猫 + 豹猫 Felis catus + Prionailurus bengalensis | 0.805 | 0.500 | 1.120 |
家猫 + 赤腹松鼠 Felis catus + Callosciurus erythraeus | 0.121 | 0.996 | 0.725 |
家猫 + 花面狸 Felis catus + Paguma larvata | 0.593 | 0.040 | 2.434 |
家猫 + 马来豪猪 Felis catus + Hystrix brachyura | 1.000 | 0.154 | 3.993 |
家猫 + 野猪 Felis catus + Sus scrofa | 0.547 | 0.342 | 1.042 |
家猫 + 鼬獾 Felis catus + Melogale moschata | 0.675 | 0.118 | 1.721 |
家猫 + 猪獾 Felis catus + Arctonyx collaris | 0.121 | 1.000 | 0.692 |
| AréValo C, Amaya‑Espinel J D, HenríQuez C, Ibarra J T, Bonacic C,2022. Urban noise and surrounding city morphology influence green space occupancy by native birds in a Mediterranean‑type South American metropolis[J]. Scientific Reports,12:4471. DOI:10.1038/s41598-022-08654-7 . | |
| Burnham K P, Anderson D R,2004. Multi‑model inference understanding AIC and BIC in model selection[J]. Sociological Methods & Research,33(33):261‑304. DOI:10.1177/0049124104268644 . | |
| Davies T W, Smyth T,2018. Why artificial light at night should be a focus for global change research in the 21st century[J]. Global Change Biology,24(3):872‑882. DOI:10.1111/gcb.13927 . | |
| Doherty T S, Glen A S, Nimmo D G, Ritchie E G, Dickman C R,2016. Invasive predators and global biodiversity loss[J]. Proceedings of the National Academy of Sciences of the United States of America,113(40):11261‑11265. DOI:10.1073/pnas. 1602480113 . | |
| Fu C J, Wang F, Zhao Y M, Zhu Q, Luo Y C, Li Y H, Zhang Z Y, Yan X T, Sun T Z, Liu Y, Li Z Q,2024. Challenges and opportunities in human dimensions behind cat‑wildlife conflict[J]. Conservation Biology,38(4):e14253. DOI:10.1111/cobi.14253 . | |
| Han Sicheng, Lu Daowei, Han Yuchen, Li Ruohan, Yang Jing, Sun Ge, Yang Lu, Qian Junwei, Fang Xiang, Luo Shujin,2024. Distribution of leopard cats in the nearest mountains to urban Beijing and its affecting environmental factors[J]. Biodiversity Science,32(8):24138. DOI:10.17520/biods.2024138. (in Chinese with English abstract) | |
| Hinchcliffe D L, Young R J, Teixeira C P,2022. Callout analysis in relation to wild birds in a tropical city:Implications for urban species management[J]. Urban Ecosystems,25(6):1643‑1652. DOI:10.1007/s11252-022-01256-1 . | |
| Hursh S H, Bauder J M, Fidino M, Drake D,2023. An urban cast of characters:Landscape use and cover influencing mammal occupancy in an American midwestern city[J]. Landscape and Urban Planning,229:104582. DOI:10.1016/j.landurbplan. 2022.104582 . | |
| Ives C G, Lentini P E, Threlfall C G, Ikin K, Shanahan D F, Garrard G E, Bekessy S A, Fuller R A, Mumaw L, Rayner L, Rowe R, Valentine L E, Kendal D,2016. Cities are hotspots for threatened species[J]. Global Ecology and Biogeography,25:117‑126. DOI:10.1111/geb.12404 . | |
| Kondratyeva A, Knapp S, Durkaurka W, KüHn I, Vallet J, Machon N, Martin G, Motard E, Grandcolas P, Pavoine S,2020. Urbanization effects on biodiversity revealed by a two‑scale analysis of species functional uniqueness vs. redundancy[J]. Frontiers in Ecology and Evolution,8:73. DOI:10.3389/fevo.2020.00073 . | |
| Li Jiaqi, Feng Yidi, Wang Lei, Pan Penyan, Liu Xiaoru, Li Xueyang, Wang Yihan, Wang Fang,2024. Diets and habitat selection of raccoon dogs(Nyctereutes procyonoides) in Shanghai,a rapidly urbanizing megacity in eastern China[J]. Biodiversity Science,32(8):24131. DOI:10.17520/biods.2024131. (in Chinese with English abstract) | |
| Li Jiaqi, Xu Haigen, Wan Yaqiong, Sun Jiaxin, Li Sheng, Cai Lei,2018. Progress in construction of China mammal diversity observation network(China BON‑Mammals)[J]. Journal of Ecology and Rural Environment,34(1):12‑19. DOI:10.11934/j.issn.1673-4831.2018.01.002. (in Chinese with English abstract) | |
| Li Sheng, Wang Fang,2024. Urban animals need more attention and research[J]. Biodiversity Science,32(8):24432. DOI:10.17520/biods.2024432. (in Chinese with English abstract) | |
| Lin Ping,2021. Urbanization effects on mammal richness:A case study of Yangtze River delta urban agglomeration[J]. Acta Scientiarum Naturalium Universitatis Pekinensis,57(3):565‑574. DOI:10.13209/j.0479-8023.2021.036. (in Chinese with English abstract) | |
| Liu Zhifa, Wang Xincai, Gong Yuening, Chen Daojian, Zhang Qiang,2023. Diversity and elevational distribution of birds and mammals based on infrared camera monitoring in Guangdong Nanling National Nature Reserve[J]. Biodiversity Science,31(7):22689. DOI:10.17520/biods.2022689. (in Chinese with English abstract) | |
| Liu Zhenhuan, Wei Lai, Zhou Yi,2024. Constructing sustainable landscape patterns for enhancing urban biodiversity[J]. Acta Ecologica Sinica,44(14):5905‑5913. DOI:10.20103/j.stxb. 202310222296. (in Chinese with English abstract) | |
| Mackenzie D I, Bailey L L, Nichols J D,2004. Investigating species co‑occurrence patterns when species are detected imperfectly[J]. Journal of Animal Ecology,73(3):546‑555. DOI:10.1111/j.0021-8790.2004.00828.x . | |
| Mackenzie D I, Nichols J D, Lachman G B, Droege S, Royle J A, Langtimm C A,2002. Estimating site occupancy rates when detection probabilities are less than one[J]. Ecology,83(8):2248‑2255. DOI:10.1890/0012-9658(2002)083 [2248:ESORWD]2.0.CO;2. | |
| Marcelli M, Luzzi G, Fusillo R,2024. Stream size‑dependent effect of urban land use on occupancy of an apex freshwater carnivore recolonizing past ranges[J]. Ecosphere,15(7):e4937. DOI:10.1002/ecs2.4937 . | |
| Mcdonald R I, Aronson M F, Beatley T, Beller E, Bazo M, Grossinger R, Jessup K, Mansur A V, Oliveira J A P, Panlasigui S, Burg J, Pevzner N, Shanahan D, Stoneburner L, Rudd A, Spotswood E,2023. Denser and greener cities:Green interventions to achieve both urban density and nature[J]. People and Nature,5(1):84‑102. DOI:10.1002/pan3.10423 . | |
| Moesch S S, Wellmann T, Haase D, Bhardwaj M,2024. Mammal Mia:A review on how ecological and human dimension research on urban wild mammals can benefit future biophilic cities[J]. Basic and Applied Ecology,79:90‑101. DOI:10.1016/j.baae. 2024.05.004 . | |
| Oladimeji A, Woodgate Z, O’Riain J M,2024. Wildlife resilience in an urban landscape:understanding land‑use impacts in Cape Town[J]. Urban Ecosystems,27:2517‑2530 . DOI:10.1007/s11252-024-01606-1 . | |
| Richmond O M W, Hines J E, Beissinger S R,2010. Two‑species occupancy models:a new parameterization applied to co‑occurrence of secretive rails[J]. Ecological Applications,20(7):2036‑2046. DOI:10.2307/25741366 . | |
| Shannon G, Lewis J S, Gerber B D,2014. Recommended survey designs for occupancy modelling using motion‑activated cameras:insights from empirical wildlife data[J]. PeerJ,2:e532. DOI:10.7717/peerj.532 . | |
| Su Rongfei, Chen Ruishan, Yu Linlin, Wu Jingbin, Kang Yan,2024. Biodiversity in community habitat gardens in Changning District,Shanghai based on camera trapping[J]. Biodiversity Science,32(8):24068. DOI:10.17520/biods.2024068. (in Chinese with English abstract) | |
| Sun Taozhu, Wu Qiong, Zhang Zhenwei, Li Zhongqiu,2024. Survey on the population and reproduction of free‑ranging cats at the Xianlin Campus of Nanjing University[J]. Acta Theriologica Sinica,4(3):333‑343. DOI:10.16829/j.slxb.150821. (in Chinese with English abstract) | |
| Ventura L, Strubbe D, Shwartz A,2024. Beyond the concrete jungle:the value of urban biodiversity for regional conservation efforts[J]. Science of The Total Environment,955:177222. DOI:10.1016/j.scitotenv.2024.177222 . | |
| Wan Yaqiong, Guo Weibo, Wu Jun, Li Li, Xu Haigen,2017. Site occupancy model:principles and research progress[J]. Journal of Ecology and Rural Environment,33(8):673‑679. DOI:10.11934/j.issn.1673-4831.2017.08.001. (in Chinese with English abstract) | |
| Wan Yaqiong, Li Jiaqi, Xu Haigen, Li Sheng, Zhang Mingming, Liu Wei,2021. Study on the spatial occupancy behavior of four kinds of large and mdium‑sized mammals in the Fanjingshan and Chishui Alsophila National Nature Reserves,Guizhou,China[J]. Journal of Ecology and Rural Environment,37(12):1609‑1615. DOI:10.19741/j.issn.1673-4831.2021.0096. (in Chinese with English abstract) | |
| Wang Qiwei, Zhao Hengyue, Liu Qin, Wan Neng, Zhu Zhibing, Niu Hongyu, Zhang Hongmao,2023. Mammal diversity in the forest fragments of Wuhan City[J]. Acta Theriologica Sinica,43(3):258‑269. DOI:10.16829/j.slxb.150730. (in Chinese with English abstract) | |
| Wang Yihan, Zhao Qianqian, Diao Yixin, Gu Bojian, Weng Yue, Zhang Zhuojin, Chen Yongbin, Wang Fang,2023. Diel activity,habitat utilization,and response to anthropogenic interference of small Indian civets(Viverricula indica)in Shanghai urban areas based on camera trapping[J]. Biodiversity Science,31(2):22294. DOI:10.17520/biods.2022294. (in Chinese with English abstract) | |
| Wei Fuwen, Yang Qisen, Wu Yi, Jiang Xuelong, Liu Shaoying, Li Baoguo, Yang Guang, Li Ming, Zhou Jiang, Li Song, Hu Yibo, Ge Deyan, Li Sheng, Yu Wenhua, Chen Bingyao, Zhang Zejun, Zhou Caiquan, Wu Shibao, Zhang Li, Chen Zhongzhen, Chen Shunde, Deng Huaiqing, Jiang Tinglei, Zhang Libiao, Shi Hongyan, Lu Xueli, Li Quan, Liu Zhu, Cui Yaqian, Li Yuchun,2021. Catalogue of mammals in China(2021)[J]. Acta Theriologica Sinica,41(5):487‑501. DOI:10.16829/j.slxb.150595. (in Chinese with English abstract) | |
| Xiao Wenhong, Shu Zufei, Chen Lijun, Yao Wutao, Ma Yong, Zhang Yingming, Xiao Zhishu,2019. Using occupancy models in wildlife camera‑trapping monitoring and the study case[J]. Biodiversity Science,27(3):249‑256. DOI:10.17520/biods. 2018195. (in Chinese with English abstract) | |
| Xiao Zhishu, Li Xinhai, Jiang Guangshun,2014. Applications of camera trapping to wildlife surveys in China[J]. Biodiversity Science,22(6):683‑684. DOI:10.3724/SP.J.1003.2014.14244. (in Chinese with English abstract) | |
| Xiao Zhishu, Li Xueyou, Xiang Zuofu, Li Ming, Jiang Xuelong, Zhang Libiao,2017. Overview of the mammal diversity observation network of Sino BON[J]. Biodiversity Science,25(3):237‑245. DOI:10.17520/biods.2016159. (in Chinese with English abstract) | |
| Ye Limin, Li Wenhua, Li Cheng, Zeng Zhenping, Luo Jing, Li Sheng,2020. Camera‑trapping survey of the mammal community structure and the spatial utilization of wild boar(Sus scrofa) in Wutong Mountain,Shenzhen[J]. Chinese Journal of Zoology,55(6):702‑711. DOI:10.13859/j.cjz.202006003. (in Chinese with English abstract) | |
| Zheng Weicheng, Zheng Zihong, Liu Julian, Wang Yu, Yang Xiaojun, Huang Linping, Ding Ping, Zeng Di,2023. The occupancy of six mammal species and the potential impacting factors in Jiulongshan National Nature Reserve,Zhejiang Province[J]. Acta Theriologica Sinica,43(4):378‑386. DOI:10.16829/j.slxb.150733. (in Chinese with English abstract) | |
| Zou Boyan, Luo Gai, Zhu Bowei, Ran Jinghong, Fang Chao,2021. The spatial distribution relationship between three pheasant species and mutual predator,the red fox(Vulpes vulpes),on the Western Sichuan Plateau[J]. Biodiversity Science,29(7):918‑926. DOI:10.17520/biods.2020438. (in Chinese with English abstract) | |
| 万雅琼,郭伟波,吴军,李莉,徐海根,2017. 物种占域模型的基本原理及其研究进展[J]. 生态与农村环境学报,33(8):673‑679. DOI:10.11934/j.issn.1673-4831.2017.08.001 . | |
| 万雅琼,李佳琦,徐海根,李晟,张明明,刘伟,2021. 贵州梵净山和赤水桫椤国家级自然保护区4种大中型兽类空间占域研究[J]. 生态与农村环境学报,37(12):1609‑1615. DOI:10.19741/j.issn.1673-4831.2021.0096 . | |
| 王怡涵,赵倩倩,刁奕欣,顾伯健,翁悦,张卓锦,陈泳滨,王放,2023. 基于红外相机调查上海市区小灵猫的活动节律、栖息地利用及其对人类活动的响应[J]. 生物多样性,31(2):22294. DOI:10.17520/biods.2022294 . | |
| 叶丽敏,李文华,李成,曾振平,罗菁,李晟,2020. 利用红外相机调查深圳梧桐山兽类群落组成及野猪的空间利用[J]. 动物学杂志,55(6):702‑711. DOI:10.13859/j.cjz.202006003 . | |
| 刘志发,王新财,龚粤宁,陈道剑,张强,2023. 基于红外相机监测的广东南岭国家级自然保护区鸟兽多样性及其垂直分布特征[J]. 生物多样性,31(7):22689. DOI:10.17520/biods.2022689 . | |
| 刘珍环,魏莱,周义,2024. 面向城市生物多样性提升的可持续景观格局构建机理与途径[J]. 生态学报,44(14):5905‑5913. DOI:10.20103/j.stxb.202310222296 . | |
| 孙桃柱,吴琼,张振伟,李忠秋,2024. 南京大学仙林校区流浪猫种群数量和繁殖调查[J]. 兽类学报,44(3):333‑343. DOI:10.16829/j.slxb.150821 . | |
| 苏荣菲,陈睿山,俞霖琳,吴婧彬,康燕,2024. 基于红外相机调查的上海市长宁区社区生境花园生物多样性[J]. 生物多样性,32(8):24068. DOI:10.17520/biods.2024068 . | |
| 李佳琦,徐海根,万雅琼,孙佳欣,李晟,蔡蕾,2018. 全国哺乳动物多样性观测网络(China BON‑Mammals)建设进展[J]. 生态与农村环境学报,34(1):12‑19. DOI:10.11934/j.issn.1673-4831.2018.01.002 . | |
| 李佳琪,冯一迪,王蕾,潘盆艳,刘潇如,李雪阳,王怡涵,王放,2024. 上海城市环境中貉的食性分析及家域范围内的栖息地选择[J]. 生物多样性,32(8):24131. DOI:10.17520/biods.2024131 . | |
| 李晟,王放,2024. 城市动物需要更多关注与研究[J]. 生物多样性,32(8):24432. DOI:10.17520/biods.2024432 . | |
| 肖文宏,束祖飞,陈立军,姚武韬,马勇,张应明,肖治术,2019. 占域模型的原理及在野生动物红外相机研究中的应用案例[J]. 生物多样性,27(3):249‑256. DOI:10.17520/biods.2018195 . | |
| 肖治术,李欣海,姜广顺,2014. 红外相机技术在我国野生动物监测研究中的应用[J]. 生物多样性,22(6):683‑684. DOI:10.3724/SP.J.1003.2014.14244 . | |
| 肖治术,李学友,向左甫,李明,蒋学龙,张礼标,2017. 中国兽类多样性监测网的建设规划与进展[J]. 生物多样性,25(3):237‑245. DOI:10.17520/biods.2016159 . | |
| 邹博研,罗概,朱博伟,冉江洪,房超,2021. 川西高原三种雉类与其捕食者赤狐的空间关系[J]. 生物多样性,29(7):918‑926. DOI:10.17520/biods.2020438 . | |
| 汪琪薇,赵恒月,刘勤,万能,朱志兵,牛红玉,张洪茂,2023. 武汉市城市破碎化森林中野生哺乳动物的多样性[J]. 兽类学报,43(3):258‑269. DOI:10.16829/j.slxb.150730 . | |
| 林萍,2021. 城市化对哺乳动物丰富度影响的研究:以长三角城市群为例[J]. 北京大学学报自然科学版,57(3):565‑574. DOI:10.13209/j.0479-8023.2021.036 . | |
| 郑伟成,郑子洪,刘菊莲,王宇,杨晓君,黄林平,丁平,曾頔,2023. 浙江九龙山国家级自然保护区六种兽类占域分析及其影响因素[J]. 兽类学报,43(4):378‑386. DOI:10.16829/j.slxb.150733 . | |
| 韩思成,陆道炜,韩宇辰,栗若寒,杨晶,孙戈,杨陆,钱俊伟,方翔,罗述金,2024. 北京近郊浅山地区的野生豹猫分布及环境影响因素[J]. 生物多样性,32(8):24138. DOI:10.17520/biods.2024138 . | |
| 魏辅文,杨奇森,吴毅,蒋学龙,刘少英,李保国,杨光,李明,周江,李松,胡义波,葛德燕,李晟,余文华,陈炳耀,张泽钧,周材权,吴诗宝,张立,陈中正,陈顺德,邓怀庆,江廷磊,张礼标,石红艳,卢学理,李权,刘铸,崔雅倩,李玉春,2021. 中国兽类名录(2021版)[J]. 兽类学报,41(5):487‑501. DOI:10.16829/j.slxb.150595 . | |
| 附录A 环境协变量间相关性检验结果 (**P < 0.05) | |
| Appendix A Correlation coefficients among covariate pairs (**P < 0.05) |
| [1] | SUN Nan, LI Guogang, XUE Shunzhi, LU Jiqi. Subspecies affiliation and population status of rhesus macaque in Qinghai, China [J]. ACTA THERIOLOGICA SINICA, 2026, 46(1): 47-59. |
| [2] | LI Wenting, SHI Xinyu, WANG Pinhan, WEN Jing. Effects of random food deprivation on energy metabolism in striped hamsters with different diets [J]. ACTA THERIOLOGICA SINICA, 2026, 46(1): 60-72. |
| [3] | MA Yihan, LIU Zhenshan, CHEN Xi, LIU Xiaohan, PENG Xia, LIU Xinyu, XING Xin, YANG Ming. The effects of vitamin A in food on the testes of male Spermophilus dauricus in laboratory hibernation [J]. ACTA THERIOLOGICA SINICA, 2026, 46(1): 73-84. |
| [4] | ZHANG Zhengyu, YU Siyu, FANG Xinmin, MA Zhihong, MA Zhuang, LI Jian, HAN Yingying, GAO Fuli, BAO Weidong. Daily activity rhythm of roe deer in Wulingshan Nature Reserve, Miyun District, Beijing [J]. ACTA THERIOLOGICA SINICA, 2026, 46(1): 85-94. |
| [5] | LI Da, YANG Xiongwei, DAI Zhenjiang, SU Haijun, FENG Wenwu. Feeding characteristics of captive giant pandas on different bamboo species in Guizhou Province [J]. ACTA THERIOLOGICA SINICA, 2026, 46(1): 95-104. |
| [6] | Linchu TIAN, Qiangyun LI, Heping FU, Zhishu XIAO, Shuai YUAN, Wei LIU. The production and evolutionary adaptation of alarm calls in small mammals: research progress and prospect [J]. ACTA THERIOLOGICA SINICA, 2025, 45(6): 723-742. |
| [7] | Qianbing LI, Xiangyu ZHANG, Lixia GAO. Research advances in vocal communication behavior and neural mechanisms of common marmosets [J]. ACTA THERIOLOGICA SINICA, 2025, 45(6): 753-762. |
| [8] | Kechi DONG, Limin HUA. Research progress on the mechanism and transmission pathway of seismic signals in subterranean rodents [J]. ACTA THERIOLOGICA SINICA, 2025, 45(6): 763-770. |
| [9] | Qiangyun LI, Jinhai WU, Siriguleng, Jianping ZHANG, Yumin LIU, Zhishu XIAO, Junhu SU, Wei LIU. Ecological adaptations of alarm calls in Brandt’s voles did not support the acoustic adaptation hypothesis [J]. ACTA THERIOLOGICA SINICA, 2025, 45(6): 797-809. |
| [10] | Jiangming WU, Xiaolong HUANG, Shaochuan CHENG, Wei YANG, Xu ZHANG, Jingcheng RAN. Behavioral response of captive Guizhou snub-nosed monkeys to noise from different sources [J]. ACTA THERIOLOGICA SINICA, 2025, 45(6): 810-819. |
| [11] | Yuqian SONG, Bojun YI, Meijie TAO, Dengpan NONG, Qihai ZHOU, Penglai FAN. The long-distance calling of white-headed langurs (Trachypithecus leucocephalus) serves a defensive function for their sleeping sites [J]. ACTA THERIOLOGICA SINICA, 2025, 45(6): 820-830. |
| [12] | Zongwei LIU, Ping ZHAO, Dezheng GAO, Ying JIANG, Bingyao CHEN, Zhichao LYU, Liangang LYU. Preliminary analysis of vocalization patterns and influencing factors of cetaceans in the Beibu Gulf [J]. ACTA THERIOLOGICA SINICA, 2025, 45(6): 831-841. |
| [13] | HUA Yan, GAO Haiyang, WANG Kai, DOU Hongliang, LI Jun, GUO Ce, SUN Song, AN Fuyu, TANG Lin, LI Yongzheng, ZHANG Zhidong, YANG Wenshan. Advances in conservation ecology of Chinese pangolins [J]. ACTA THERIOLOGICA SINICA, 2025, 45(5): 577-592. |
| [14] | LI Zhongqiu. Some key questions of ecological impacts of free ranging cats [J]. ACTA THERIOLOGICA SINICA, 2025, 45(5): 593-601. |
| [15] | WANG Zihan, WANG Dong, HOU Luyi, LI Quanbang, LI Qiqin, WEI Haijuan, LIAN Xinming. Habitat suitability analysis for four wild ungulates in Sanjiangyuan National Park under different climate change scenarios [J]. ACTA THERIOLOGICA SINICA, 2025, 45(5): 602-614. |
| Viewed | ||||||
|
Full text |
|
|||||
|
Abstract |
|
|||||
青公网安备 63010402000199号
青ICP备05000010号-2